Wie bereits im vorherigen Teil beschrieben, scheinen elektrische und pneumatische Systeme auf den ersten Blick grundlegend verschieden zu sein, basieren jedoch auf sehr ähnlichen Beschreibungen, die sich gut miteinander vergleichen lassen. Der Kern dieser Analogie liegt darin, dass beide Systeme Energie über ein Medium transportieren: Die Elektrotechnik nutzt elektrische Ladungsträger, während die Pneumatik komprimierte Luft bewegt. Die Art des Mediums ist unterschiedlich, doch die Beziehungen zwischen den physikalischen Größen sind überraschend. Aufbauend auf dem letzten Beitrag, in dem die Analogien zwischen Spannung und Druck, Strom und Volumenstrom und Widerstand und geometrischen Engstellen betrachtet wurden, erfolgt in diesem Beitrag eine Betrachtung von Induktivität und Kapazität und den entsprechenden Elementen in der Pneumatik.
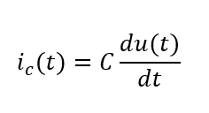
Kapazität
Anhand einer vereinfachten Betrachtung ohne die Berücksichtigung parasitärer Elemente kann eine Kapazität in Form eines Kondensators mit der folgenden Gleichung beschrieben werden:

Mit Worten beschrieben fließt ein Strom durch den Kondensator, wenn eine zeitliche Änderung der Spannung am Kondensator erfolgt. Sinkt die Spannung, so fließt Ladung aus dem Kondensator. Im Gegenzug wird der Kondensator aufgeladen, wenn die Spannung an ihm steigt.
Ein vergleichbares, analoges Verhalten zeigt ein Druckluftbehälter mit ideal flexiblen Boden. Steigt der Druck am Eingang des Behälters, so wird Druckluft in den Behälter eingespeist, bis der Druck im Behälter dem Druck am Eingang entspricht. Im Gegenzug strömt Druckluft aus dem Behälter, wenn der Druck am Eingang unter den Eingangsdruck sinkt.

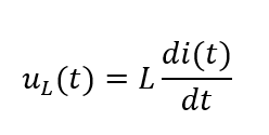
Induktivität
Eine Induktivität z.B. in Form einer Spule kann idealisiert durch folgende Gleichung beschrieben werden:

An diesem Element liegt daher nur eine Spannung an, wenn der Stromfluss durch die Induktivität eine zeitliche Änderung erfährt oder anders betrachtet wirkt die Induktivität einer Stromänderung entgegen, in dem eine Spannung induziert wird.
Ein ähnliches Verhalten zeigt eine Turbine in einer Wasserleitung. Die Trägheit der Turbine wirkt einer Änderung des Durchflusses entgegen, in dem durch die Turbine ein Druck aufgebaut wird.
